ℹ️ Skipped - page is already crawled
| Filter | Status | Condition | Details |
|---|---|---|---|
| HTTP status | PASS | download_http_code = 200 | HTTP 200 |
| Age cutoff | PASS | download_stamp > now() - 6 MONTH | 0 months ago |
| History drop | PASS | isNull(history_drop_reason) | No drop reason |
| Spam/ban | PASS | fh_dont_index != 1 AND ml_spam_score = 0 | ml_spam_score=0 |
| Canonical | PASS | meta_canonical IS NULL OR = '' OR = src_unparsed | Not set |
| Property | Value |
|---|---|
| URL | https://www.dataapplab.com/math-you-need-to-succeed-in-ml-interviews/ |
| Last Crawled | 2026-04-07 12:42:58 (1 day ago) |
| First Indexed | 2021-10-29 09:12:38 (4 years ago) |
| HTTP Status Code | 200 |
| Meta Title | 机器学习面试,你必须知道这些数学知识 - Data Application Lab |
| Meta Description | 机器学习是指训练计算机程序,以建立基于数据的统计模型的过程。 机器学习 (ML) 的目标是转换数据,并从数据中识别关键模式或获得关键见解。而数学是机器学习面试中的一大重点。为了练习,我们汇总了机器学习面试问题中的数学相关的函数和问题。这份ML最重要数学的指南会对大家的求职很有帮助。 |
| Meta Canonical | null |
| Boilerpipe Text | 机器学习中有很多方程式,为了准备面试,你至少需要知道本文所包含的内容。
在开始这篇文章之前,我应该先介绍一下目标受众——本篇文章是针对那些对机器学习工程面试感兴趣的人,而不是研究科学家
(或类似职位,比如数据科学家)
。
原因是,研究科学家的面试往往非常重理论
(数据科学则偏向统计学知识)
,候选人需要了解更多的方程式,而机器学起工程师
(MLE)
面试则更注重工程学知识,你需要非常了解机器学习,但不需要达到专家水平。
如果你跟我一样,在为MLE的面试做准备时,你会阅读书籍和博客,做笔记。一段时间后,你意识到这些资料中都有很多数学方程,你开始好奇,到底哪些对你的面试很重要。但是因为你不确定,所以你只有一个不落地研究了:(
好消息是,MLE 面试和其他面试相比的优势在于,面试官提出的问题中基本上不会要求你明确给出方程式,甚至推导方程式
(需要注意的是:有些初创公司的面试过程还不够正式化,所以面试内容主要还是取决于面试官)
。
但是,在回答机器学习问题时,我们需要注意并使用其中一些方程式。
通常,你会使用这些方程式来支持你的回答。
例如,如果面试官问,如何减少过拟合,你会提到 L1
(lasso)
和 L2
(ridge)
正则化,此时还应该补充说, L2 添加了一个惩罚项,为损失函数的系数的平方,L1也类似。在这种情况下,我们不会明确地写出方程式,但我们会让面试官知道我们是了解这些知识的,并且会在回答问题时使用它们。
我列出了一份总结性的方程式及清单,在准备 MLE 面试时你必须知道这些内容。该清单针对一般领域的 ML 工程师,对于特定领域,你还需要了解其他方程式。
如果你想了解更多数据分析相关内容,可以阅读以下这些文章:
Machine Learning知识点:机器学习里的聚类分析技巧
三个月如何搞定机器学习的数学原理?
研究了2000+笔记本,我们总结了最适合机器学习、数据科学和深度学习的电脑
评估机器学习算法的指标
损失函数
(Loss Functions)
你应该熟知所有损失函数,因为当你谈论 ML 模型时,面试官会期待优秀的候选人可以在没有提示的情况下提到损失函数。
平均绝对误差 (MAE) / 均方误差 (MSE)
这些是用于
回归模型的损失函数
对数损失函数
(Log Loss)
针对二进制输出分类模型的损失函数
交叉熵损失函数
(Cross Entropy Loss)
多输出分类模型的损失函数
铰链损失函数
(Hinge Loss)
针对SVM 的损失函数
模型
线性回归
(Linear Regression)
尽管线性回归问题不像逻辑回归那样为人所知,但知道在什么情况下会遇到线性回归问题也很重要。线性回归是传统ML基本模型之一,其方程式非常简单。
逻辑回归
(Logistic Regression)
逻辑回归在ML面试中经常出现,因为它通常是分类问题的基线模型,面试官可以使用过拟合和分类指标进行跟踪。
支持向量机
(SVMs)
与线性回归一样,支持向量机并不经常出现在ML面试中。但是,了解 SVM 的成本函数的方程式,将有助于你理解超参数,超参数可用于控制误分类数量
(这个问题经常出现在与SVM有关的问题中)
。
如果超参数为 0,则模型不允许出现任何误分类,反之,超参数值越大,允许的误分类越多。
神经网络的前向传递
(Forward Pass of Neural Networks)
神经网络经常出现在ML面试中,所以你至少要准备一个问题。
候选人必须熟知前向传递方程,以便更好地理解要如何将激活函数、权重和输入结合在一起。
贝叶斯定理
(Bayes Theorem)
这是机器学习中最常出现的方程。
面试中出现的问题往往不是解决贝叶斯定理的问题——这些问题通常是针对数据科学家的——但有时你需要解释简单贝叶斯模型,而这个定理是核心。
L1 和 L2 正则化
(L1 and L2 Regularization)
了解这两个方程以及它们如何防止过拟合非常重要。过拟合问题经常出现在 ML 面试中。
决策树
(Decision Tree)
决策树、随机森林、和增强树经常出现在 ML 面试中,你应该知道用于测量节点杂质的两个方程:
基尼系数
(Gini Index)
熵
(Entropy)
决策树的成本函数-因为编写成本函数非常简单,面试官很可能在ML编程问题中提出让你编写成本函数。
指标
在提到 ML 模型时,你需要知道如何进行评估,因此了解每个模型的指标非常重要。
分类指标
(精确度、召回率、准确度、F1)
回归指标
(平均绝对误差、均方误差)
其他一些指标:
Normalized discounted cumulative gain
(排名指标)
Intersection over union
(计算机视觉指标)
Dice coefficient
(计算机视觉指标)
BLEU 分数
(NLP 指标)
激活函数
如上文所述,神经网络经常出现在面试中,在回答涉及神经网络和其他ML模型的问题时,了解流行的激活函数也很有必要。
Softmax函数
距离函数
(Distance Functions)
距离函数出现在ML面试的许多领域:比如k最近邻、k均值以及推荐系统。
因此,你应该熟悉 3 个最受欢迎的距离函数:
余弦相似度(Cosine)
欧氏距离
(Euclidean)
曼哈顿距离
(Manhattan)
统计知识
虽然 MLE 面试中的统计问题没有数据科学家面试那么多,但你也要试着将这些方程用于数据分析问题。这类问题经常出现在面试中,因为你的工作中心就是处理数据。
卡方
(Chi Squared)
卡方检验用来确定某一类别特征的期望频率,与该特征的观察频率之间,是否存在统计学上显著的差异。
置信区间
(Confidence Intervals)
该区间给出了估计区间包含感利息价值的概率。最常见的置信区间为 95%。
标准化
(Standardization)
标准化是一种数据预处理技术,用于将数据围绕平均值进行缩放,以获得单位标准差。
归一化
(Normalization)
归一化是一种数据预处理技术,用于在 0 和 1 之间缩放数据。
偏差-方差权衡方程
(Bias-Variance Tradeoff Equation)
虽然你可能了解偏差-方差权衡的概念,但理解该偏差-方差权衡方程还可以帮你深层次理解这个概念,并在回答这个问题时提供更深层次的知识。
总结
机器学习是指训练计算机程序,以建立基于数据的统计模型的过程。 机器学习 (ML) 的目标是转换数据,并从数据中识别关键模式或获得关键见解。而数学是机器学习面试中的一大重点。为了练习,我们汇总了机器学习面试问题中的数学相关的函数和问题。这份ML最重要数学的指南会对大家的求职很有帮助。
原文作者:Stefan Hosein
翻译作者:Lia
美工编辑:过儿
校对审稿:Jiawei Tong
原文链接:
https://towardsdatascience.com/math-you-need-to-succeed-in-ml-interviews-9e717d61f296 |
| Markdown | Menu
× 
[My account](http://www.dataapplab.com/my-account/)
[](https://www.dataapplab.com/ "机器学习面试,你必须知道这些数学知识 - Data Application Lab")
[](https://www.dataapplab.com/)
- [Enterprise Service](https://www.dataapplab.com/enterprise/)
- - [Machine Learning & AI](https://www.dataapplab.com/math-you-need-to-succeed-in-ml-interviews/)
- [FinTech](https://www.dataapplab.com/enterprise/)
- [Natural Language Processing](https://www.dataapplab.com/enterprise/)
- [Steam Game Recommendation System](https://www.dataapplab.com/enterprise/)
- [GIS in Real Estate](https://www.dataapplab.com/enterprise/)
- - [Consulting Service](https://www.dataapplab.com/consulting/)
- [Business Insights](https://www.dataapplab.com/math-you-need-to-succeed-in-ml-interviews/)
- [Big Data Solutions](https://www.dataapplab.com/math-you-need-to-succeed-in-ml-interviews/)
- [Enterprise Application](https://www.dataapplab.com/math-you-need-to-succeed-in-ml-interviews/)
- [Infrastructure Management](https://www.dataapplab.com/math-you-need-to-succeed-in-ml-interviews/)
- - [Big Data Computing](https://www.dataapplab.com/math-you-need-to-succeed-in-ml-interviews/)
- [Computing Clusters](https://www.dataapplab.com/?page_id=6848)
- [Data Warehouse](https://www.dataapplab.com/math-you-need-to-succeed-in-ml-interviews/)
- [Career Consulting](https://www.dataapplab.com/career-consulting/)
- [About us](https://www.dataapplab.com/about-us/)
- [About us](https://www.dataapplab.com/about-us/)
- [Milestone](https://www.dataapplab.com/milestone/)
- [Job Oppotunities](https://www.dataapplab.com/job-oppotunities/)
- [Events](https://www.dataapplab.com/event/)
- [Global Blog](https://www.dataapplab.com/blog/)
- [中文课程](https://www.dataapplab.com/intl/)
- - [精华课程](https://www.dataapplab.com/math-you-need-to-succeed-in-ml-interviews/)
- [数据科学家](https://www.dataapplab.com/ds)
- [LLM大语言模型开发者](https://www.dataapplab.com/course/llm/)
- [商业分析师](https://www.dataapplab.com/ba/)
- [AI人工智能](https://www.dataapplab.com/course/ai/)
- [软件工程师SDE](https://www.dataapplab.com/sde)
- [Data Scientist 面试冲刺班](https://study.dataapplab.com/course?courseid=ds-interview)
- [大数据工程师](https://study.dataapplab.com/course?courseid=de)
- [数据应用学院Learn Center](https://study.dataapplab.com/)
# 机器学习面试,你必须知道这些数学知识
[Home](https://www.dataapplab.com/) \\ [Blog](https://www.dataapplab.com/blog/) \\

## 机器学习面试,你必须知道这些数学知识
**机器学习中有很多方程式,为了准备面试,你至少需要知道本文所包含的内容。**
**在开始这篇文章之前,我应该先介绍一下目标受众——本篇文章是针对那些对机器学习工程面试感兴趣的人,而不是研究科学家*(或类似职位,比如数据科学家)*。**原因是,研究科学家的面试往往非常重理论*(数据科学则偏向统计学知识)*,候选人需要了解更多的方程式,而机器学起工程师*(MLE)*面试则更注重工程学知识,你需要非常了解机器学习,但不需要达到专家水平。
如果你跟我一样,在为MLE的面试做准备时,你会阅读书籍和博客,做笔记。一段时间后,你意识到这些资料中都有很多数学方程,你开始好奇,到底哪些对你的面试很重要。但是因为你不确定,所以你只有一个不落地研究了:(
好消息是,MLE 面试和其他面试相比的优势在于,面试官提出的问题中基本上不会要求你明确给出方程式,甚至推导方程式*(需要注意的是:有些初创公司的面试过程还不够正式化,所以面试内容主要还是取决于面试官)*。**但是,在回答机器学习问题时,我们需要注意并使用其中一些方程式。**
**通常,你会使用这些方程式来支持你的回答。**例如,如果面试官问,如何减少过拟合,你会提到 L1*(lasso)*和 L2*(ridge)*正则化,此时还应该补充说, L2 添加了一个惩罚项,为损失函数的系数的平方,L1也类似。在这种情况下,我们不会明确地写出方程式,但我们会让面试官知道我们是了解这些知识的,并且会在回答问题时使用它们。
**我列出了一份总结性的方程式及清单,在准备 MLE 面试时你必须知道这些内容。该清单针对一般领域的 ML 工程师,对于特定领域,你还需要了解其他方程式。**如果你想了解更多数据分析相关内容,可以阅读以下这些文章:
[Machine Learning知识点:机器学习里的聚类分析技巧](https://www.dataapplab.com/an-introduction-to-clustering-techniques/)
[三个月如何搞定机器学习的数学原理?](https://www.dataapplab.com/3-months-plan-to-learn-mathematics-for-ml/)
[研究了2000+笔记本,我们总结了最适合机器学习、数据科学和深度学习的电脑](https://www.dataapplab.com/towards-artificial-intelligence-best-laptops-for-machine-learning-deep-learning-data-science-ml/)
[评估机器学习算法的指标](https://www.dataapplab.com/metrics-to-evaluate-your-machine-learning-algorithm/)
**损失函数*(Loss Functions)***
你应该熟知所有损失函数,因为当你谈论 ML 模型时,面试官会期待优秀的候选人可以在没有提示的情况下提到损失函数。
**平均绝对误差 (MAE) / 均方误差 (MSE)**
这些是用于**回归模型的损失函数**

**对数损失函数*(Log Loss)***
针对二进制输出分类模型的损失函数

**交叉熵损失函数*(Cross Entropy Loss)***
**多输出分类模型的损失函数**

**铰链损失函数*(Hinge Loss)***
**针对SVM 的损失函数**

**模型**
**线性回归*(Linear Regression)***
尽管线性回归问题不像逻辑回归那样为人所知,但知道在什么情况下会遇到线性回归问题也很重要。线性回归是传统ML基本模型之一,其方程式非常简单。

**逻辑回归*(Logistic Regression)***
逻辑回归在ML面试中经常出现,因为它通常是分类问题的基线模型,面试官可以使用过拟合和分类指标进行跟踪。

**支持向量机*(SVMs)***
与线性回归一样,支持向量机并不经常出现在ML面试中。但是,了解 SVM 的成本函数的方程式,将有助于你理解超参数,超参数可用于控制误分类数量*(这个问题经常出现在与SVM有关的问题中)*。**如果超参数为 0,则模型不允许出现任何误分类,反之,超参数值越大,允许的误分类越多。**

**神经网络的前向传递*(Forward Pass of Neural Networks)***
**神经网络经常出现在ML面试中,所以你至少要准备一个问题。**候选人必须熟知前向传递方程,以便更好地理解要如何将激活函数、权重和输入结合在一起。

**贝叶斯定理*(Bayes Theorem)***
这是机器学习中最常出现的方程。**面试中出现的问题往往不是解决贝叶斯定理的问题——这些问题通常是针对数据科学家的——但有时你需要解释简单贝叶斯模型,而这个定理是核心。**

**L1 和 L2 正则化*(L1 and L2 Regularization)***
**了解这两个方程以及它们如何防止过拟合非常重要。过拟合问题经常出现在 ML 面试中。**

**决策树*(Decision Tree)***
**决策树、随机森林、和增强树经常出现在 ML 面试中,你应该知道用于测量节点杂质的两个方程:**
**基尼系数*(Gini Index)***

**熵*(Entropy)***

**决策树的成本函数-因为编写成本函数非常简单,面试官很可能在ML编程问题中提出让你编写成本函数。**

**指标**
**在提到 ML 模型时,你需要知道如何进行评估,因此了解每个模型的指标非常重要。**
**分类指标*(精确度、召回率、准确度、F1)***

**回归指标*(平均绝对误差、均方误差)***

**其他一些指标:**
- Normalized discounted cumulative gain*(排名指标)*
- Intersection over union*(计算机视觉指标)*
- Dice coefficient*(计算机视觉指标)*
- BLEU 分数*(NLP 指标)*
**激活函数**
**如上文所述,神经网络经常出现在面试中,在回答涉及神经网络和其他ML模型的问题时,了解流行的激活函数也很有必要。**

**Softmax函数**

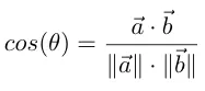
**距离函数*(Distance Functions)***
距离函数出现在ML面试的许多领域:比如k最近邻、k均值以及推荐系统。**因此,你应该熟悉 3 个最受欢迎的距离函数:**
**余弦相似度(Cosine)**

**欧氏距离*(Euclidean)***

**曼哈顿距离*(Manhattan)***

**统计知识**
虽然 MLE 面试中的统计问题没有数据科学家面试那么多,但你也要试着将这些方程用于数据分析问题。这类问题经常出现在面试中,因为你的工作中心就是处理数据。
**卡方*(Chi Squared)***
卡方检验用来确定某一类别特征的期望频率,与该特征的观察频率之间,是否存在统计学上显著的差异。

**置信区间*(Confidence Intervals)***
该区间给出了估计区间包含感利息价值的概率。最常见的置信区间为 95%。

**标准化*(Standardization)***
标准化是一种数据预处理技术,用于将数据围绕平均值进行缩放,以获得单位标准差。

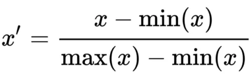
**归一化*(Normalization)***
归一化是一种数据预处理技术,用于在 0 和 1 之间缩放数据。

**偏差-方差权衡方程*(Bias-Variance Tradeoff Equation)***
**虽然你可能了解偏差-方差权衡的概念,但理解该偏差-方差权衡方程还可以帮你深层次理解这个概念,并在回答这个问题时提供更深层次的知识。**

**总结**
机器学习是指训练计算机程序,以建立基于数据的统计模型的过程。 机器学习 (ML) 的目标是转换数据,并从数据中识别关键模式或获得关键见解。而数学是机器学习面试中的一大重点。为了练习,我们汇总了机器学习面试问题中的数学相关的函数和问题。这份ML最重要数学的指南会对大家的求职很有帮助。
原文作者:Stefan Hosein
翻译作者:Lia
美工编辑:过儿
校对审稿:Jiawei Tong
原文链接:<https://towardsdatascience.com/math-you-need-to-succeed-in-ml-interviews-9e717d61f296>
October 28, 2021 \| [Blog](https://www.dataapplab.com/blog/) \| Tags: [机器学习](https://www.dataapplab.com/tag/%E6%9C%BA%E5%99%A8%E5%AD%A6%E4%B9%A0/)
[Previous 快收藏!2021 Python常用函数都在这里](https://www.dataapplab.com/pandas-basics-cheat-sheet-2021-python-for-data-science/ "快收藏!2021 Python常用函数都在这里")
[Next 想转行数据科学,你需要做什么?](https://www.dataapplab.com/the-honest-truth-about-making-a-career-switch-into-data-science/ "想转行数据科学,你需要做什么?")
## Latest post
[](https://www.dataapplab.com/listen-to-turing-laureates-on-ais-right-development-path/ "听一听图灵奖获得者为我们讲解什么是人工智能的正确发展方向")
##### [听一听图灵奖获得者为我们讲解什么是人工智能的正确发展方向](https://www.dataapplab.com/listen-to-turing-laureates-on-ais-right-development-path/ "听一听图灵奖获得者为我们讲解什么是人工智能的正确发展方向")
April 1, 2026
[](https://www.dataapplab.com/will-programmers-no-longer-be-needed-in-the-future/ "未来是不是不需要程序员了?")
##### [未来是不是不需要程序员了?](https://www.dataapplab.com/will-programmers-no-longer-be-needed-in-the-future/ "未来是不是不需要程序员了?")
March 29, 2026
[](https://www.dataapplab.com/in-depth-analysis-of-the-openclaw-open-source-llm-project/ "OpenClaw开源LLM项目深度解析")
##### [OpenClaw开源LLM项目深度解析](https://www.dataapplab.com/in-depth-analysis-of-the-openclaw-open-source-llm-project/ "OpenClaw开源LLM项目深度解析")
March 28, 2026
## Courses
## Events
[](https://www.dataapplab.com/event/lecture-6-100-days-of-llm-mastery/ "Lecture 6: 100 Days of LLM Mastery")
##### [Lecture 6: 100 Days of LLM Mastery](https://www.dataapplab.com/event/lecture-6-100-days-of-llm-mastery/ "Lecture 6: 100 Days of LLM Mastery")
April 9, 2026
[](https://www.dataapplab.com/event/claude-llm-code-leak-an-ai-security-incident/ "Claude LLM Code Leak: An AI Security Incident")
##### [Claude LLM Code Leak: An AI Security Incident](https://www.dataapplab.com/event/claude-llm-code-leak-an-ai-security-incident/ "Claude LLM Code Leak: An AI Security Incident")
April 10, 2026
[](https://www.dataapplab.com/event/lecture-7100-days-of-llm-mastery/ "Lecture 7: 100 Days of LLM Mastery")
##### [Lecture 7: 100 Days of LLM Mastery](https://www.dataapplab.com/event/lecture-7100-days-of-llm-mastery/ "Lecture 7: 100 Days of LLM Mastery")
April 16, 2026
## Consulting
- [Business Insights](https://www.dataapplab.com/math-you-need-to-succeed-in-ml-interviews/)
- [Big Data Solution](https://www.dataapplab.com/math-you-need-to-succeed-in-ml-interviews/)
- [Enterprise Application](https://www.dataapplab.com/math-you-need-to-succeed-in-ml-interviews/)
- [Infrastructure Management](https://www.dataapplab.com/math-you-need-to-succeed-in-ml-interviews/)
## ABOUT US
- [About us](https://www.dataapplab.com/about-us/)
- [Milestone](https://www.dataapplab.com/milestone/)
- [Terms and Conditions](https://www.dataapplab.com/terms-of-use/)
- [User Agreement](https://www.dataapplab.com/terms-use-agreement/)
- [Privacy Policy](https://www.dataapplab.com/privacy-policy/)
## Contact Info:
Email: info@dataapplab.com Telephone: +1(909)768-3666 Human Resource: hr@dataapplab.com
[TOP](https://www.dataapplab.com/math-you-need-to-succeed-in-ml-interviews/#top)
© Copyright © 2019 Data Application Lab
- [Enterprise Service](https://www.dataapplab.com/enterprise/)
- [Machine Learning & AI](https://www.dataapplab.com/math-you-need-to-succeed-in-ml-interviews/)
- [FinTech](https://www.dataapplab.com/enterprise/)
- [Natural Language Processing](https://www.dataapplab.com/enterprise/)
- [Steam Game Recommendation System](https://www.dataapplab.com/enterprise/)
- [GIS in Real Estate](https://www.dataapplab.com/enterprise/)
- [Consulting Service](https://www.dataapplab.com/consulting/)
- [Business Insights](https://www.dataapplab.com/math-you-need-to-succeed-in-ml-interviews/)
- [Big Data Solutions](https://www.dataapplab.com/math-you-need-to-succeed-in-ml-interviews/)
- [Enterprise Application](https://www.dataapplab.com/math-you-need-to-succeed-in-ml-interviews/)
- [Infrastructure Management](https://www.dataapplab.com/math-you-need-to-succeed-in-ml-interviews/)
- [Big Data Computing](https://www.dataapplab.com/math-you-need-to-succeed-in-ml-interviews/)
- [Computing Clusters](https://www.dataapplab.com/?page_id=6848)
- [Data Warehouse](https://www.dataapplab.com/math-you-need-to-succeed-in-ml-interviews/)
- [Career Consulting](https://www.dataapplab.com/career-consulting/)
- [About us](https://www.dataapplab.com/about-us/)
- [About us](https://www.dataapplab.com/about-us/)
- [Milestone](https://www.dataapplab.com/milestone/)
- [Job Oppotunities](https://www.dataapplab.com/job-oppotunities/)
- [Events](https://www.dataapplab.com/event/)
- [Global Blog](https://www.dataapplab.com/blog/)
- [中文课程](https://www.dataapplab.com/intl/)
- [精华课程](https://www.dataapplab.com/math-you-need-to-succeed-in-ml-interviews/)
- [数据科学家](https://www.dataapplab.com/ds)
- [LLM大语言模型开发者](https://www.dataapplab.com/course/llm/)
- [商业分析师](https://www.dataapplab.com/ba/)
- [AI人工智能](https://www.dataapplab.com/course/ai/)
- [软件工程师SDE](https://www.dataapplab.com/sde)
- [Data Scientist 面试冲刺班](https://study.dataapplab.com/course?courseid=ds-interview)
- [大数据工程师](https://study.dataapplab.com/course?courseid=de)
- [数据应用学院Learn Center](https://study.dataapplab.com/) |
| Readable Markdown | **机器学习中有很多方程式,为了准备面试,你至少需要知道本文所包含的内容。**
**在开始这篇文章之前,我应该先介绍一下目标受众——本篇文章是针对那些对机器学习工程面试感兴趣的人,而不是研究科学家*(或类似职位,比如数据科学家)*。**原因是,研究科学家的面试往往非常重理论*(数据科学则偏向统计学知识)*,候选人需要了解更多的方程式,而机器学起工程师*(MLE)*面试则更注重工程学知识,你需要非常了解机器学习,但不需要达到专家水平。
如果你跟我一样,在为MLE的面试做准备时,你会阅读书籍和博客,做笔记。一段时间后,你意识到这些资料中都有很多数学方程,你开始好奇,到底哪些对你的面试很重要。但是因为你不确定,所以你只有一个不落地研究了:(
好消息是,MLE 面试和其他面试相比的优势在于,面试官提出的问题中基本上不会要求你明确给出方程式,甚至推导方程式*(需要注意的是:有些初创公司的面试过程还不够正式化,所以面试内容主要还是取决于面试官)*。**但是,在回答机器学习问题时,我们需要注意并使用其中一些方程式。**
**通常,你会使用这些方程式来支持你的回答。**例如,如果面试官问,如何减少过拟合,你会提到 L1*(lasso)*和 L2*(ridge)*正则化,此时还应该补充说, L2 添加了一个惩罚项,为损失函数的系数的平方,L1也类似。在这种情况下,我们不会明确地写出方程式,但我们会让面试官知道我们是了解这些知识的,并且会在回答问题时使用它们。
**我列出了一份总结性的方程式及清单,在准备 MLE 面试时你必须知道这些内容。该清单针对一般领域的 ML 工程师,对于特定领域,你还需要了解其他方程式。**如果你想了解更多数据分析相关内容,可以阅读以下这些文章:
[Machine Learning知识点:机器学习里的聚类分析技巧](https://www.dataapplab.com/an-introduction-to-clustering-techniques/)
[三个月如何搞定机器学习的数学原理?](https://www.dataapplab.com/3-months-plan-to-learn-mathematics-for-ml/)
[研究了2000+笔记本,我们总结了最适合机器学习、数据科学和深度学习的电脑](https://www.dataapplab.com/towards-artificial-intelligence-best-laptops-for-machine-learning-deep-learning-data-science-ml/)
[评估机器学习算法的指标](https://www.dataapplab.com/metrics-to-evaluate-your-machine-learning-algorithm/)
**损失函数*(Loss Functions)***
你应该熟知所有损失函数,因为当你谈论 ML 模型时,面试官会期待优秀的候选人可以在没有提示的情况下提到损失函数。
**平均绝对误差 (MAE) / 均方误差 (MSE)**
这些是用于**回归模型的损失函数**

**对数损失函数*(Log Loss)***
针对二进制输出分类模型的损失函数

**交叉熵损失函数*(Cross Entropy Loss)***
**多输出分类模型的损失函数**

**铰链损失函数*(Hinge Loss)***
**针对SVM 的损失函数**

**模型**
**线性回归*(Linear Regression)***
尽管线性回归问题不像逻辑回归那样为人所知,但知道在什么情况下会遇到线性回归问题也很重要。线性回归是传统ML基本模型之一,其方程式非常简单。

**逻辑回归*(Logistic Regression)***
逻辑回归在ML面试中经常出现,因为它通常是分类问题的基线模型,面试官可以使用过拟合和分类指标进行跟踪。

**支持向量机*(SVMs)***
与线性回归一样,支持向量机并不经常出现在ML面试中。但是,了解 SVM 的成本函数的方程式,将有助于你理解超参数,超参数可用于控制误分类数量*(这个问题经常出现在与SVM有关的问题中)*。**如果超参数为 0,则模型不允许出现任何误分类,反之,超参数值越大,允许的误分类越多。**

**神经网络的前向传递*(Forward Pass of Neural Networks)***
**神经网络经常出现在ML面试中,所以你至少要准备一个问题。**候选人必须熟知前向传递方程,以便更好地理解要如何将激活函数、权重和输入结合在一起。

**贝叶斯定理*(Bayes Theorem)***
这是机器学习中最常出现的方程。**面试中出现的问题往往不是解决贝叶斯定理的问题——这些问题通常是针对数据科学家的——但有时你需要解释简单贝叶斯模型,而这个定理是核心。**

**L1 和 L2 正则化*(L1 and L2 Regularization)***
**了解这两个方程以及它们如何防止过拟合非常重要。过拟合问题经常出现在 ML 面试中。**

**决策树*(Decision Tree)***
**决策树、随机森林、和增强树经常出现在 ML 面试中,你应该知道用于测量节点杂质的两个方程:**
**基尼系数*(Gini Index)***

**熵*(Entropy)***

**决策树的成本函数-因为编写成本函数非常简单,面试官很可能在ML编程问题中提出让你编写成本函数。**

**指标**
**在提到 ML 模型时,你需要知道如何进行评估,因此了解每个模型的指标非常重要。**
**分类指标*(精确度、召回率、准确度、F1)***

**回归指标*(平均绝对误差、均方误差)***

**其他一些指标:**
- Normalized discounted cumulative gain*(排名指标)*
- Intersection over union*(计算机视觉指标)*
- Dice coefficient*(计算机视觉指标)*
- BLEU 分数*(NLP 指标)*
**激活函数**
**如上文所述,神经网络经常出现在面试中,在回答涉及神经网络和其他ML模型的问题时,了解流行的激活函数也很有必要。**

**Softmax函数**

**距离函数*(Distance Functions)***
距离函数出现在ML面试的许多领域:比如k最近邻、k均值以及推荐系统。**因此,你应该熟悉 3 个最受欢迎的距离函数:**
**余弦相似度(Cosine)**

**欧氏距离*(Euclidean)***

**曼哈顿距离*(Manhattan)***

**统计知识**
虽然 MLE 面试中的统计问题没有数据科学家面试那么多,但你也要试着将这些方程用于数据分析问题。这类问题经常出现在面试中,因为你的工作中心就是处理数据。
**卡方*(Chi Squared)***
卡方检验用来确定某一类别特征的期望频率,与该特征的观察频率之间,是否存在统计学上显著的差异。

**置信区间*(Confidence Intervals)***
该区间给出了估计区间包含感利息价值的概率。最常见的置信区间为 95%。

**标准化*(Standardization)***
标准化是一种数据预处理技术,用于将数据围绕平均值进行缩放,以获得单位标准差。

**归一化*(Normalization)***
归一化是一种数据预处理技术,用于在 0 和 1 之间缩放数据。

**偏差-方差权衡方程*(Bias-Variance Tradeoff Equation)***
**虽然你可能了解偏差-方差权衡的概念,但理解该偏差-方差权衡方程还可以帮你深层次理解这个概念,并在回答这个问题时提供更深层次的知识。**

**总结**
机器学习是指训练计算机程序,以建立基于数据的统计模型的过程。 机器学习 (ML) 的目标是转换数据,并从数据中识别关键模式或获得关键见解。而数学是机器学习面试中的一大重点。为了练习,我们汇总了机器学习面试问题中的数学相关的函数和问题。这份ML最重要数学的指南会对大家的求职很有帮助。
原文作者:Stefan Hosein
翻译作者:Lia
美工编辑:过儿
校对审稿:Jiawei Tong
原文链接:<https://towardsdatascience.com/math-you-need-to-succeed-in-ml-interviews-9e717d61f296> |
| Shard | 99 (laksa) |
| Root Hash | 3498991255532658299 |
| Unparsed URL | com,dataapplab!www,/math-you-need-to-succeed-in-ml-interviews/ s443 |