ℹ️ Skipped - page is already crawled
| Filter | Status | Condition | Details |
|---|---|---|---|
| HTTP status | PASS | download_http_code = 200 | HTTP 200 |
| Age cutoff | FAIL | download_stamp > now() - 6 MONTH | 7.8 months ago |
| History drop | PASS | isNull(history_drop_reason) | No drop reason |
| Spam/ban | PASS | fh_dont_index != 1 AND ml_spam_score = 0 | ml_spam_score=0 |
| Canonical | PASS | meta_canonical IS NULL OR = '' OR = src_unparsed | Not set |
| Property | Value |
|---|---|
| URL | https://developer.aliyun.com/article/925078 |
| Last Crawled | 2025-08-20 01:32:48 (7 months ago) |
| First Indexed | 2022-05-18 00:39:19 (3 years ago) |
| HTTP Status Code | 200 |
| Meta Title | NLP面试-最大似然估计与贝叶斯估计的区别-阿里云开发者社区 |
| Meta Description | NLP面试-最大似然估计与贝叶斯估计的区别 |
| Meta Canonical | null |
| Boilerpipe Text | 1 相关理论 1.1 全概率公式 全概率公式为概率论中的重要公式,它将对一复杂事件A的概率求解问题转化为了在不同情况下发生的简单事件的概率的求和问题。 如果事件B1、B2、B3…Bn 构成一个完备事件组,即它们两两互不相容,其和为全集;并且P(Bi)大于0,则对任一事件A有 特别地,对于任意两随机事件A和B,有如下成立: 1.2 先验概率 先验概率(prior probability)是指根据以往经验和分析得到的概率。 意思是说我们人有一个常识,比如骰子,我们都知道概率是1/6,而且无数次重复实验也表明是这个数,这是一种我们人的常识,也是我们在不知道任何情况下必然会说出的一个值.而所谓的先验概率是我们人在未知条件下对事件发生可能性猜测的数学表示! 1.3 后验概率 事情已经发生,要求这件事情发生的原因是由某个因素引起的可能性的大小 1.4 举个例子 举一个简单的例子:一口袋里有3只红球、2只白球,采用不放回方式摸取,求: ⑴ 第一次摸到红球(记作A)的概率; ⑵ 第二次摸到红球(记作B)的概率; ⑶ 已知第二次摸到了红球,求第一次摸到的是红球的概率。 解: ⑴ P(A)=3/5,这就是先验概率; ⑵ P(B)=P(A)P(B|A)+P(A`)P(B|A`)=3/5 ⑶ P(A|B)=P(A)P(B|A)/P(B)=1/2,这就是后验概率。 2 最大似然估计 最大似然估计的核心思想是:找到参数θ的一个估计值,使得当前样本出现的可能性最大,俗话说是“谁大像谁”。 假设有一组独立同分布(i.i.d)的随机变量X,给定一个概率分布D,假设其概率密度函数为f,以及一个分布的参数θ,从这组样本中抽出x1,x2,⋯,xn,那么通过参数θ的模型f产生上面样本的概率为: 最大似然估计会寻找关于θ 的最可能的值,即在所有可能的 θ 取值中,寻找一个值使这个采样的“可能性”最大化! 因为是”模型已定,参数未知”,此时我们是根据样本采样x1,x2,⋯,xn取估计参数θ,定义似然函数为: 实际使用中,因为f(xi|θ)一般比较小,而且n往往会比较大,连乘容易造成浮点运算下溢。所以一般我们用对数似然函数: 根据前面的描述,总结一下求最大释然估计值的步骤: 1.写似然函数 2.一般对似然函数取对数,并将对数似然函数整理 3.对数似然函数求导,令导数为0,求得似然方程 4.根据似然方程求解,得到的参数即为所求估计值 3 贝叶斯估计 统计学里有两个大的流派,一个是频率派,一个是贝叶斯派。时至今日,这两派还未就各自的观点达成统一。我们前面提到的最大似然估计就是频率派的典型思路,接下来再看看贝叶斯派的思路,到底跟频率派估计有何不同。 先来看几个相关的小公式: 两个随机变量x,y的联合概率p(x,y)的乘法公式: 如果x,y是独立随机变量,上面的式子可以表示为: 那么条件概率就可以表示为: 对于一个完备事件组y1,y2,⋯,yn,可以使用全概率公式: 由以上这些,可以得出贝叶斯公式: 其中,p(yi|x)是后验概率。p(x|yi)是条件概率,或者说似然概率,这个概率一般都可以通过历史数据统计得出。而p(yi)是先验概率,一般也是根据历史数据统计得出或者认为给定的,贝叶斯里的先验概率,就是指p(yi)。对于p(x),我们前面提到可以用全概率公式计算得出,但是在贝叶斯公式里面我们一般不care这个概率,因为我们往往只需要求出最大后验概率而不需要求出最大后验的具体值。 2,3部分内容来自: 最大似然估计MLE与贝叶斯估计 4 区别 最大似然估计和贝叶斯估计最大区别便在于估计的参数不同,最大似然估计要估计的参数θ被当作是固定形式的一个未知变量,然后我们结合真实数据通过最大化似然函数来求解这个固定形式的未知变量! 贝叶斯估计则是将参数视为是有某种已知先验分布的随机变量,意思便是这个参数他不是一个固定的未知数,而是符合一定先验分布如:随机变量θ符合正态分布等!那么在贝叶斯估计中除了类条件概率密度p(x|w)符合一定的先验分布,参数θ也符合一定的先验分布。我们通过贝叶斯规则将参数的先验分布转化成后验分布进行求解! 简而言之,最大似然估计认为参数的所有可能取值都是一样可能的。而贝叶斯方法认为还存在一个先验估计,有些取值更有可能,有些取值更加没有可能。 最大似然是对点估计,贝叶斯推断是对分布估计。 即,假设求解参数θ,最大似然是求出最有可能的θ值,而贝叶斯推断则是求解θ的分布。 在公式上,贝叶斯推断还引入了先验,通过先验和似然来求解后验分布,而最大似然直接使用似然函数,通过最大化其来求解。 参考资料 |
| Markdown | [大模型](https://www.aliyun.com/product/tongyi)[产品](https://www.aliyun.com/product/list)[解决方案](https://www.aliyun.com/solution/tech-solution/)[文档与社区](https://www.aliyun.com/resources)[权益中心](https://www.aliyun.com/benefit)[定价](https://www.aliyun.com/price)[云市场](https://market.aliyun.com/)[合作伙伴](https://partner.aliyun.com/management/v2)[支持与服务](https://www.aliyun.com/service)[了解阿里云](https://www.aliyun.com/about)
查看 “
” 全部搜索结果
[AI 助理](https://www.aliyun.com/ai-assistant?displayMode=side)
[备案](https://beian.aliyun.com/)[控制台](https://home.console.aliyun.com/home/dashboard/ProductAndService)
[开发者社区](https://developer.aliyun.com/)
[首页](https://developer.aliyun.com/ "开发者社区")
探索云世界
### 探索云世界
#### 热门
[百炼大模型](https://developer.aliyun.com/modelstudio/)[Modelscope模型即服务](https://developer.aliyun.com/modelscope/)[弹性计算](https://developer.aliyun.com/ecs/)[通义灵码](https://developer.aliyun.com/lingma/)[云原生](https://developer.aliyun.com/cloudnative/)[数据库](https://developer.aliyun.com/database/)[云效DevOps](https://developer.aliyun.com/group/yunxiao/)[龙蜥操作系统](https://developer.aliyun.com/group/aliyun_linux/)
#### [云计算](https://developer.aliyun.com/ecs/)
[弹性计算](https://developer.aliyun.com/ecs/)[无影](https://developer.aliyun.com/group/wuying/)[存储](https://developer.aliyun.com/storage/)[网络](https://developer.aliyun.com/group/networking/)[倚天](https://developer.aliyun.com/yitian/)
#### [大数据](https://developer.aliyun.com/bigdata/)
[大数据计算](https://developer.aliyun.com/group/maxcompute/)[实时数仓Hologres](https://developer.aliyun.com/group/hologres/)[实时计算Flink](https://developer.aliyun.com/group/sc/)[E-MapReduce](https://developer.aliyun.com/group/aliyunemr/)[DataWorks](https://developer.aliyun.com/group/dataworks/)[Elasticsearch](https://developer.aliyun.com/group/es/)[机器学习平台PAI](https://developer.aliyun.com/group/pai/)[智能搜索推荐](https://developer.aliyun.com/group/aios/)[数据可视化DataV](https://developer.aliyun.com/group/datav/)
#### [云原生](https://developer.aliyun.com/cloudnative/)
[容器](https://developer.aliyun.com/group/kubernetes/)[serverless](https://developer.aliyun.com/group/serverless/)[中间件](https://developer.aliyun.com/group/aliware/)[微服务](https://developer.aliyun.com/group/mse/)[可观测](https://developer.aliyun.com/group/arms/)[消息队列](https://developer.aliyun.com/group/rocketmq/)
#### [人工智能](https://developer.aliyun.com/modelscope/)
[机器学习平台PAI](https://developer.aliyun.com/group/pai/)[视觉智能开放平台](https://developer.aliyun.com/group/viapi/)[智能语音交互](https://developer.aliyun.com/group/speech/)[自然语言处理](https://developer.aliyun.com/group/nlp/)[多模态模型](https://developer.aliyun.com/group/multimodel/)[pythonsdk](https://developer.aliyun.com/group/pythonsdk/)[通用模型](https://developer.aliyun.com/group/others/)
#### [数据库](https://developer.aliyun.com/database/)
[关系型数据库](https://developer.aliyun.com/group/polardb/)[NoSQL数据库](https://developer.aliyun.com/group/hbasespark/)[数据仓库](https://developer.aliyun.com/group/analyticdb/)[数据管理工具](https://developer.aliyun.com/database/dm)[PolarDB开源](https://developer.aliyun.com/polardb/)[向量数据库](https://developer.aliyun.com/database/vectordatabase)
#### [开发与运维](https://developer.aliyun.com/group/othertech/)
[云效DevOps](https://developer.aliyun.com/group/yunxiao/)[钉钉宜搭](https://developer.aliyun.com/group/yida/)[镜像站](https://developer.aliyun.com/group/mirror/)
[问产品](https://developer.aliyun.com/ask/hottestQuestionsWithProduct)
[动手实践](https://developer.aliyun.com/adc/)
[官方博客](https://developer.aliyun.com/blog/)
[考认证](https://edu.aliyun.com/)
[TIANCHI大赛](https://tianchi.aliyun.com/)
活动广场
### 活动广场
丰富的线上&线下活动,深入探索云世界
[任务中心做任务,得社区积分和周边](https://developer.aliyun.com/mission)
[训练营资深技术专家手把手带教](https://edu.aliyun.com/trainingcamp/)
[直播技术交流,直击现场](https://developer.aliyun.com/live/)
[乘风者计划让创作激发创新](https://developer.aliyun.com/topic/bloggers)
下载
### 下载
海量开发者使用工具、手册,免费下载
[镜像站极速、全面、稳定、安全的开源镜像](https://developer.aliyun.com/mirror)
[技术资料开发手册、白皮书、案例集等实战精华](https://developer.aliyun.com/ebook/)
探索云世界
热门
[百炼大模型](https://developer.aliyun.com/modelstudio/)[Modelscope模型即服务](https://developer.aliyun.com/modelscope/)[弹性计算](https://developer.aliyun.com/ecs/)[通义灵码](https://developer.aliyun.com/lingma/)[云原生](https://developer.aliyun.com/cloudnative/)[数据库](https://developer.aliyun.com/database/)[云效DevOps](https://developer.aliyun.com/group/yunxiao/)[龙蜥操作系统](https://developer.aliyun.com/group/aliyun_linux/)
[云计算](https://developer.aliyun.com/ecs/)[弹性计算](https://developer.aliyun.com/ecs/)[无影](https://developer.aliyun.com/group/wuying/)[存储](https://developer.aliyun.com/storage/)[网络](https://developer.aliyun.com/group/networking/)[倚天](https://developer.aliyun.com/yitian/)
[云原生](https://developer.aliyun.com/cloudnative/)[容器](https://developer.aliyun.com/group/kubernetes/)[serverless](https://developer.aliyun.com/group/serverless/)[中间件](https://developer.aliyun.com/group/aliware/)[微服务](https://developer.aliyun.com/group/mse/)[可观测](https://developer.aliyun.com/group/arms/)[消息队列](https://developer.aliyun.com/group/rocketmq/)
[数据库](https://developer.aliyun.com/database/)[关系型数据库](https://developer.aliyun.com/group/polardb/)[NoSQL数据库](https://developer.aliyun.com/group/hbasespark/)[数据仓库](https://developer.aliyun.com/group/analyticdb/)[数据管理工具](https://developer.aliyun.com/database/dm)[PolarDB开源](https://developer.aliyun.com/polardb/)[向量数据库](https://developer.aliyun.com/database/vectordatabase)
[大数据](https://developer.aliyun.com/bigdata/)[大数据计算](https://developer.aliyun.com/group/maxcompute/)[实时数仓Hologres](https://developer.aliyun.com/group/hologres/)[实时计算Flink](https://developer.aliyun.com/group/sc/)[E-MapReduce](https://developer.aliyun.com/group/aliyunemr/)[DataWorks](https://developer.aliyun.com/group/dataworks/)[Elasticsearch](https://developer.aliyun.com/group/es/)[机器学习平台PAI](https://developer.aliyun.com/group/pai/)[智能搜索推荐](https://developer.aliyun.com/group/aios/)[数据可视化DataV](https://developer.aliyun.com/group/datav/)
[人工智能](https://developer.aliyun.com/modelscope/)[机器学习平台PAI](https://developer.aliyun.com/group/pai/)[视觉智能开放平台](https://developer.aliyun.com/group/viapi/)[智能语音交互](https://developer.aliyun.com/group/speech/)[自然语言处理](https://developer.aliyun.com/group/nlp/)[多模态模型](https://developer.aliyun.com/group/multimodel/)[pythonsdk](https://developer.aliyun.com/group/pythonsdk/)[通用模型](https://developer.aliyun.com/group/others/)
[开发与运维](https://developer.aliyun.com/group/othertech/)[云效DevOps](https://developer.aliyun.com/group/yunxiao/)[钉钉宜搭](https://developer.aliyun.com/group/yida/)[镜像站](https://developer.aliyun.com/group/mirror/)
[开发者社区](https://developer.aliyun.com/) [大数据](https://developer.aliyun.com/group/bigdata/) [文章](https://developer.aliyun.com/group/bigdata/article/) 正文
# NLP面试-最大似然估计与贝叶斯估计的区别
2022-05-18 365
版权
版权声明:
本文内容由阿里云实名注册用户自发贡献,版权归原作者所有,阿里云开发者社区不拥有其著作权,亦不承担相应法律责任。具体规则请查看《 [阿里云开发者社区用户服务协议](https://developer.aliyun.com/article/768092)》和 《[阿里云开发者社区知识产权保护指引](https://developer.aliyun.com/article/768093)》。如果您发现本社区中有涉嫌抄袭的内容,填写 [侵权投诉表单](https://yida.alibaba-inc.com/o/right)进行举报,一经查实,本社区将立刻删除涉嫌侵权内容。
本文涉及的产品
NLP自然语言处理\_高级版,每接口累计50万次
NLP 自学习平台,3个模型定制额度 1个月
NLP自然语言处理\_基础版,每接口每天50万次
**简介:** NLP面试-最大似然估计与贝叶斯估计的区别
## 1 相关理论
***
### 1\.1 全概率公式
全概率公式为概率论中的重要公式,它将对一复杂事件A的概率求解问题转化为了在不同情况下发生的简单事件的概率的求和问题。
如果事件B1、B2、B3…Bn 构成一个完备事件组,即它们两两互不相容,其和为全集;并且P(Bi)大于0,则对任一事件A有

特别地,对于任意两随机事件A和B,有如下成立:

### 1\.2 先验概率
先验概率(prior probability)是指根据以往经验和分析得到的概率。
> 意思是说我们人有一个常识,比如骰子,我们都知道概率是1/6,而且无数次重复实验也表明是这个数,这是一种我们人的常识,也是我们在不知道任何情况下必然会说出的一个值.而所谓的先验概率是我们人在未知条件下对事件发生可能性猜测的数学表示\!
### 1\.3 后验概率
事情已经发生,要求这件事情发生的原因是由某个因素引起的可能性的大小
### 1\.4 举个例子
举一个简单的例子:一口袋里有3只红球、2只白球,采用不放回方式摸取,求:
⑴ 第一次摸到红球(记作A)的概率;
⑵ 第二次摸到红球(记作B)的概率;
⑶ 已知第二次摸到了红球,求第一次摸到的是红球的概率。
解:
⑴ P(A)=3/5,这就是先验概率;
⑵ P(B)=P(A)P(B\|A)+P(A\`)P(B\|A\`)=3/5
⑶ P(A\|B)=P(A)P(B\|A)/P(B)=1/2,这就是后验概率。
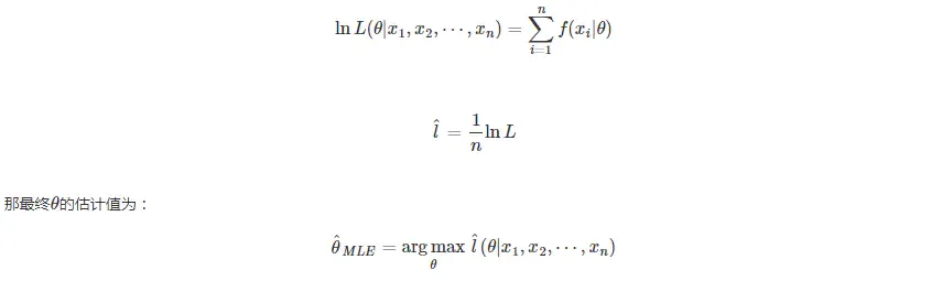
## 2 最大似然估计
***
最大似然估计的核心思想是:找到参数θ的一个估计值,使得当前样本出现的可能性最大,俗话说是“谁大像谁”。
假设有一组独立同分布(i.i.d)的随机变量X,给定一个概率分布D,假设其概率密度函数为f,以及一个分布的参数θ,从这组样本中抽出x1,x2,⋯,xn,那么通过参数θ的模型f产生上面样本的概率为:

最大似然估计会寻找关于θ 的最可能的值,即在所有可能的 θ 取值中,寻找一个值使这个采样的“可能性”最大化!
因为是”模型已定,参数未知”,此时我们是根据样本采样x1,x2,⋯,xn取估计参数θ,定义似然函数为:

实际使用中,因为f(xi\|θ)一般比较小,而且n往往会比较大,连乘容易造成浮点运算下溢。所以一般我们用对数似然函数:

根据前面的描述,总结一下求最大释然估计值的步骤:
1\.写似然函数
2\.一般对似然函数取对数,并将对数似然函数整理
3\.对数似然函数求导,令导数为0,求得似然方程
4\.根据似然方程求解,得到的参数即为所求估计值
## 3 贝叶斯估计
***
统计学里有两个大的流派,一个是频率派,一个是贝叶斯派。时至今日,这两派还未就各自的观点达成统一。我们前面提到的最大似然估计就是频率派的典型思路,接下来再看看贝叶斯派的思路,到底跟频率派估计有何不同。
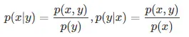
先来看几个相关的小公式:
两个随机变量x,y的联合概率p(x,y)的乘法公式:

如果x,y是独立随机变量,上面的式子可以表示为:

那么条件概率就可以表示为:

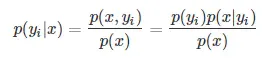
对于一个完备事件组y1,y2,⋯,yn,可以使用全概率公式:

由以上这些,可以得出贝叶斯公式:

其中,p(yi\|x)是后验概率。p(x\|yi)是条件概率,或者说似然概率,这个概率一般都可以通过历史数据统计得出。而p(yi)是先验概率,一般也是根据历史数据统计得出或者认为给定的,贝叶斯里的先验概率,就是指p(yi)。对于p(x),我们前面提到可以用全概率公式计算得出,但是在贝叶斯公式里面我们一般不care这个概率,因为我们往往只需要求出最大后验概率而不需要求出最大后验的具体值。
2,3部分内容来自:
[最大似然估计MLE与贝叶斯估计](https://blog.csdn.net/bitcarmanlee/article/details/52201858)
## 4 区别
***
- 理解1:
> 最大似然估计和贝叶斯估计最大区别便在于估计的参数不同,最大似然估计要估计的参数θ被当作是固定形式的一个未知变量,然后我们结合真实数据通过最大化似然函数来求解这个固定形式的未知变量!
>
> 贝叶斯估计则是将参数视为是有某种已知先验分布的随机变量,意思便是这个参数他不是一个固定的未知数,而是符合一定先验分布如:随机变量θ符合正态分布等!那么在贝叶斯估计中除了类条件概率密度p(x\|w)符合一定的先验分布,参数θ也符合一定的先验分布。我们通过贝叶斯规则将参数的先验分布转化成后验分布进行求解!
- 理解2:
> 简而言之,最大似然估计认为参数的所有可能取值都是一样可能的。而贝叶斯方法认为还存在一个先验估计,有些取值更有可能,有些取值更加没有可能。
- 理解3:
> 最大似然是对点估计,贝叶斯推断是对分布估计。
>
> 即,假设求解参数θ,最大似然是求出最有可能的θ值,而贝叶斯推断则是求解θ的分布。
>
> 在公式上,贝叶斯推断还引入了先验,通过先验和似然来求解后验分布,而最大似然直接使用似然函数,通过最大化其来求解。
## 参考资料
***
- [全概率公式](https://baike.baidu.com/item/%E5%85%A8%E6%A6%82%E7%8E%87%E5%85%AC%E5%BC%8F#2)
- [贝叶斯公式的直观理解(先验概率/后验概率)](https://www.cnblogs.com/yemanxiaozu/p/7680761.html)
- [最大似然估计MLE与贝叶斯估计](https://blog.csdn.net/bitcarmanlee/article/details/52201858)
- [贝叶斯估计和极大似然估计到底有何区别](https://blog.csdn.net/feilong_csdn/article/details/61633180)
文章标签:
[自然语言处理](https://developer.aliyun.com/label/article_de-product-3-nlp)
[自然语言处理](https://developer.aliyun.com/label/article_de-3-100040)
[BI](https://developer.aliyun.com/label/article_de-3-100055)
关键词:
[自然语言处理面试](https://www.aliyun.com/sswb/882571.html)
[面试贝叶斯](https://www.aliyun.com/sswb/1105172.html)
[自然语言处理贝叶斯](https://www.aliyun.com/sswb/1485318.html)
[](https://developer.aliyun.com/profile/rdgy7japcbviy)
[致Great\_VIP](https://developer.aliyun.com/profile/rdgy7japcbviy)
目录
相关文章
[技术自由圈/原疯狂创客圈](https://developer.aliyun.com/profile/r43put2rqnbp4)
\|
4月前
\|
存储 算法 架构师
[阿里面试:PS+PO、CMS、G1、ZGC区别在哪?什么是卡表、记忆集、联合表?问懵了,尼恩来一个 图解+秒懂+史上最全的答案](https://developer.aliyun.com/article/1661209)
阿里面试:PS+PO、CMS、G1、ZGC区别在哪?什么是卡表、记忆集、联合表?问懵了,尼恩来一个 图解+秒懂+史上最全的答案
[技术自由圈/原疯狂创客圈](https://developer.aliyun.com/profile/r43put2rqnbp4)
228 5 10
[热爱技术的小郑](https://developer.aliyun.com/profile/sqwzxd2m3mcv6)
\|
12月前
\|
Java
[【Java集合类面试二十八】、说一说TreeSet和HashSet的区别](https://developer.aliyun.com/article/1591912)
HashSet基于哈希表实现,无序且可以有一个null元素;TreeSet基于红黑树实现,支持排序,不允许null元素。
[热爱技术的小郑](https://developer.aliyun.com/profile/sqwzxd2m3mcv6)
239 2 2
[软件求生](https://developer.aliyun.com/profile/svuifoyxbx3pu)
\|
7月前
\|
Java 程序员 调度
[Java 高级面试技巧:yield() 与 sleep() 方法的使用场景和区别](https://developer.aliyun.com/article/1650526)
本文详细解析了 Java 中 \`Thread\` 类的 \`yield()\` 和 \`sleep()\` 方法,解释了它们的作用、区别及为什么是静态方法。\`yield()\` 让当前线程释放 CPU 时间片,给其他同等优先级线程运行机会,但不保证暂停;\`sleep()\` 则让线程进入休眠状态,指定时间后继续执行。两者都是静态方法,因为它们影响线程调度机制而非单一线程行为。这些知识点在面试中常被提及,掌握它们有助于更好地应对多线程编程问题。
[软件求生](https://developer.aliyun.com/profile/svuifoyxbx3pu)
279 9 12
[aliyun3944920541](https://developer.aliyun.com/profile/76rmmtyjwdshe)
\|
10月前
\|
机器学习/深度学习 存储 自然语言处理
[NLP 面试揭秘:解锁 注意力机制](https://developer.aliyun.com/article/1616849)
NLP 面试揭秘:解锁 注意力机制
[aliyun3944920541](https://developer.aliyun.com/profile/76rmmtyjwdshe)
197 65 65
[](https://developer.aliyun.com/article/1616849)
[软件求生](https://developer.aliyun.com/profile/svuifoyxbx3pu)
\|
7月前
\|
安全 Java 程序员
[Java面试必问!run() 和 start() 方法到底有啥区别?](https://developer.aliyun.com/article/1649952)
在多线程编程中,run和 start方法常常让开发者感到困惑。为什么调用 start 才能启动线程,而直接调用 run只是普通方法调用?这篇文章将通过一个简单的例子,详细解析这两者的区别,帮助你在面试中脱颖而出,理解多线程背后的机制和原理。
[软件求生](https://developer.aliyun.com/profile/svuifoyxbx3pu)
252 12 12
[蓝易云](https://developer.aliyun.com/profile/3c4vysbj27yje)
\|
7月前
\|
编译器 Android开发 开发者
[Android经典面试题之Kotlin中Lambda表达式和匿名函数的区别](https://developer.aliyun.com/article/1650180)
Lambda表达式和匿名函数都是Kotlin中强大的特性,帮助开发者编写简洁而高效的代码。理解它们的区别和适用场景,有助于选择最合适的方式来解决问题。希望本文的详细讲解和示例能够帮助你在Kotlin开发中更好地运用这些特性。
[蓝易云](https://developer.aliyun.com/profile/3c4vysbj27yje)
122 9 9
[Ant.Dream](https://developer.aliyun.com/profile/433tz37tiqejw)
\|
11月前
\|
Android开发 Kotlin
[Android经典面试题之Kotlin的==和===有什么区别?](https://developer.aliyun.com/article/1609009)
本文介绍了 Kotlin 中 \`==\` 和 \`===\` 操作符的区别:\`==\` 用于比较值是否相等,而 \`===\` 用于检查对象身份。对于基本类型,两者行为相似;对于对象引用,\`==\` 比较值相等性,\`===\` 检查引用是否指向同一实例。此外,还列举了其他常用比较操作符及其应用场景。
[Ant.Dream](https://developer.aliyun.com/profile/433tz37tiqejw)
271 94 96
[技术内容小助手](https://developer.aliyun.com/profile/baphsqca3imha)
\|
8月前
\|
Java
[Java社招面试题:& 和 && 的区别,HR的套路险些让我翻车!](https://developer.aliyun.com/article/1645989)
今日分享的主题是如何区分&和&&的区别,提高自身面试的能力。主要分为以下四部分。 1、自我面试经历 2、\&和\&\&的不同之处 3、&对&&的不同用回答逻辑解释 4、彩蛋
[技术内容小助手](https://developer.aliyun.com/profile/baphsqca3imha)
145 2 2
[软件求生](https://developer.aliyun.com/profile/svuifoyxbx3pu)
\|
9月前
\|
Java 程序员
[Java社招面试题:& 和 && 的区别,HR的套路险些让我翻车!](https://developer.aliyun.com/article/1642848)
小米,29岁程序员,分享了一次面试经历,详细解析了Java中&和&&的区别及应用场景,展示了扎实的基础知识和良好的应变能力,最终成功获得Offer。
[软件求生](https://developer.aliyun.com/profile/svuifoyxbx3pu)
204 14 14
[技术自由圈/原疯狂创客圈](https://developer.aliyun.com/profile/r43put2rqnbp4)
\|
8月前
\|
Java 关系型数据库 数据库
[京东面试:聊聊Spring事务?Spring事务的10种失效场景?加入型传播和嵌套型传播有什么区别?](https://developer.aliyun.com/article/1643091)
45岁老架构师尼恩分享了Spring事务的核心知识点,包括事务的两种管理方式(编程式和声明式)、@Transactional注解的五大属性(transactionManager、propagation、isolation、timeout、readOnly、rollbackFor)、事务的七种传播行为、事务隔离级别及其与数据库隔离级别的关系,以及Spring事务的10种失效场景。尼恩还强调了面试中如何给出高质量答案,推荐阅读《尼恩Java面试宝典PDF》以提升面试表现。更多技术资料可在公众号【技术自由圈】获取。
[技术自由圈/原疯狂创客圈](https://developer.aliyun.com/profile/r43put2rqnbp4)
274 6 6
## 热门文章
## 最新文章
[1 Java 面试实操指南与最新技术结合的实战攻略](https://developer.aliyun.com/article/1671524)
[2 字节面试: MySQL 百万级 导入发生的 “死锁” 难题如何解决?“2序4拆”,彻底攻克](https://developer.aliyun.com/article/1672034)
[3 Redis数据类型面试给分情况](https://developer.aliyun.com/article/1671774)
[4 大数据岗位技能需求挖掘:Python爬虫与NLP技术结合](https://developer.aliyun.com/article/1674373)
[5 大厂RAG面试题:24个RAG八股文。偷偷背下来,毒打面试官 !](https://developer.aliyun.com/article/1671240)
[6 京东二面:说下spring中常用的设计模式? (一个 深入骨髓的答案, 面试官跪下了)](https://developer.aliyun.com/article/1667863)
[7 阿里面试:SpringBoot启动时, 如何执行扩展代码?你们项目 SpringBoot 进行过 哪些 扩展?](https://developer.aliyun.com/article/1669547)
[8 MyBatis场景面试题](https://developer.aliyun.com/article/1671340)
[9 2025 年 Java 面试宝典社招春招秋招实操全方位攻略](https://developer.aliyun.com/article/1668931)
[10 Java Redis 面试题集锦 常见高频面试题目及解析](https://developer.aliyun.com/article/1667915)
[1 深度学习在自然语言处理中的应用与挑战 95](https://developer.aliyun.com/article/1578331)
[2 深度学习在自然语言处理中的应用与挑战 67](https://developer.aliyun.com/article/1578139)
[3 深度学习在自然语言处理中的应用与挑战 102](https://developer.aliyun.com/article/1578059)
[4 深度学习在自然语言处理中的应用与挑战 133](https://developer.aliyun.com/article/1577998)
[5 深度学习在自然语言处理中的应用与挑战 94](https://developer.aliyun.com/article/1577803)
[6 深度学习在自然语言处理中的应用与挑战 84](https://developer.aliyun.com/article/1577793)
[7 深度学习与自然语言处理的融合:重塑语言理解的未来 219](https://developer.aliyun.com/article/1577590)
[8 自然语言处理中的情感分析技术:深入解析与应用前景 810](https://developer.aliyun.com/article/1577414)
[9 【NLP】讯飞英文学术论文分类挑战赛Top10开源多方案--6 提分方案 119](https://developer.aliyun.com/article/1576775)
[10 【NLP】讯飞英文学术论文分类挑战赛Top10开源多方案–5 Bert 方案 138](https://developer.aliyun.com/article/1576772)
## 相关课程
[更多](https://edu.aliyun.com/explore/)
[达摩院NLP(自然语言处理)技术和应用](https://tianchi.aliyun.com/course/280)
[达摩院自然语言处理NLP技术和应用](https://edu.aliyun.com/course/312414)
[Java面试疑难点解析 - 面试技巧及语言基础](https://edu.aliyun.com/course/312334)
[Java面试疑难点解析 - Java Web开发](https://edu.aliyun.com/course/312344)
[Java面试疑难点解析 - 系统架构及项目设计](https://edu.aliyun.com/course/312345)
## 相关电子书
[更多](https://developer.aliyun.com/ebook/)
[阿里云技术面试红宝书](https://developer.aliyun.com/ebook/7016)
[超全算法笔试-模拟题精解合集](https://developer.aliyun.com/ebook/7400)
[程序员面试宝典](https://developer.aliyun.com/ebook/7401)
下一篇
[对象存储 OSS 如何创建 bucket\|学习笔记](https://developer.aliyun.com/article/1062282)
### 为什么选择阿里云
[什么是云计算](https://www.aliyun.com/about/what-is-cloud-computing)[全球基础设施](https://infrastructure.aliyun.com/)[技术领先](https://www.aliyun.com/why-us/leading-technology)[稳定可靠](https://www.aliyun.com/why-us/reliability)[安全合规](https://www.aliyun.com/why-us/security-compliance)[分析师报告](https://www.aliyun.com/analyst-reports)
### 产品和定价
[全部产品](https://www.aliyun.com/product/list)[免费试用](https://free.aliyun.com/)[产品动态](https://www.aliyun.com/product/news/)[产品定价](https://www.aliyun.com/price/detail)[配置报价器](https://www.aliyun.com/price/cpq/list)[云上成本管理](https://www.aliyun.com/price/cost-management)
### 解决方案
[技术解决方案](https://www.aliyun.com/solution/tech-solution)
### 文档与社区
[文档](https://help.aliyun.com/)[开发者社区](https://developer.aliyun.com/)[天池大赛](https://tianchi.aliyun.com/)[培训与认证](https://edu.aliyun.com/)
### 权益中心
[免费试用](https://free.aliyun.com/)[解决方案免费试用](https://www.aliyun.com/solution/free)[高校计划](https://university.aliyun.com/)[5亿算力补贴](https://www.aliyun.com/benefit/form/index)[推荐返现计划](https://dashi.aliyun.com/?ambRef=shouYeDaoHang2&pageCode=yunparterIndex)
### 支持与服务
[基础服务](https://www.aliyun.com/service)[企业增值服务](https://www.aliyun.com/service/supportplans)[迁云服务](https://www.aliyun.com/service/devopsimpl/devopsimpl_cloudmigration_public_cn)[官网公告](https://www.aliyun.com/notice/)[健康看板](https://status.aliyun.com/)[信任中心](https://security.aliyun.com/trust)
### 关注阿里云
关注阿里云公众号或下载阿里云APP,关注云资讯,随时随地运维管控云服务

联系我们:4008013260
[法律声明](https://help.aliyun.com/product/67275.html)[Cookies政策](https://terms.alicdn.com/legal-agreement/terms/platform_service/20220906101446934/20220906101446934.html)[廉正举报](https://aliyun.jubao.alibaba.com/)[安全举报](https://report.aliyun.com/)[联系我们](https://www.aliyun.com/contact)[加入我们](https://careers.aliyun.com/)
### 友情链接
[阿里巴巴集团](https://www.alibabagroup.com/cn/global/home)[淘宝网](https://www.taobao.com/)[天猫](https://www.tmall.com/)[全球速卖通](https://www.aliexpress.com/)[阿里巴巴国际交易市场](https://www.alibaba.com/)[1688](https://www.1688.com/)[阿里妈妈](https://www.alimama.com/index.htm)[飞猪](https://www.fliggy.com/)[阿里云计算](https://www.aliyun.com/)[AliOS](https://www.alios.cn/)[万网](https://wanwang.aliyun.com/)[高德](https://mobile.amap.com/)[UC](https://www.uc.cn/)[友盟](https://www.umeng.com/)[优酷](https://www.youku.com/)[钉钉](https://www.dingtalk.com/)[支付宝](https://www.alipay.com/)[达摩院](https://damo.alibaba.com/)[淘宝海外](https://world.taobao.com/)[阿里云盘](https://www.aliyundrive.com/)[饿了么](https://www.ele.me/)
© 2009-2025 Aliyun.com 版权所有 增值电信业务经营许可证: [浙B2-20080101](http://beian.miit.gov.cn/) 域名注册服务机构许可: [浙D3-20210002](https://domain.miit.gov.cn/%E5%9F%9F%E5%90%8D%E6%B3%A8%E5%86%8C%E6%9C%8D%E5%8A%A1%E6%9C%BA%E6%9E%84/%E4%BA%92%E8%81%94%E7%BD%91%E5%9F%9F%E5%90%8D/%E9%98%BF%E9%87%8C%E4%BA%91%E8%AE%A1%E7%AE%97%E6%9C%89%E9%99%90%E5%85%AC%E5%8F%B8%20)
[](https://zzlz.gsxt.gov.cn/businessCheck/verifKey.do?showType=p&serial=91330106673959654P-SAIC_SHOW_10000091330106673959654P1710919400712&signData=MEUCIQDEkCd8cK7%2Fyqe6BNMWvoMPtAnsgKa7FZetfPkjZMsvhAIgOX1G9YC6FKyndE7o7hL0KaBVn4f%20V%2Fiof3iAgpsV09o%3D)[浙公网安备 33010602009975号](http://www.beian.gov.cn/portal/registerSystemInfo)[浙B2-20080101-4](https://beian.miit.gov.cn/) |
| Readable Markdown | null |
| Shard | 149 (laksa) |
| Root Hash | 892221456919234349 |
| Unparsed URL | com,aliyun!developer,/article/925078 s443 |